Point dynamics in a moving coordinate system

Home Physics Equations Classical Mechanics Point dynamics in a moving coordinate system


Apparent forces
The total force in a moving coordinate system can be found by subtracting the apparent forces from the forces working in the reference frame: F = F -F(app). The different apparent forces are given by:
  • 1. Transformation of the origin: F = -ma
  • 2. Rotation:
  • 3. Coriolis force: F(cor) = -2mw x v
  • 4. Centrifugal force:

Tensor notation

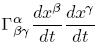
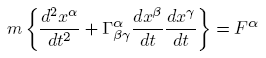
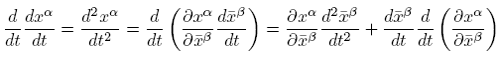
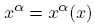
Transformation of the Newtonian equations of motion to gives:


The chain rule gives:


so:


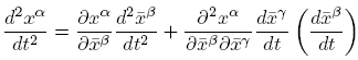
This leads to:


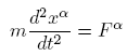
Hence the Newtonian equation of motion


will be transformed into:


The apparent forces are taken from he origin to the effect side in the way .