Dynamics of rigid bodies

Home Physics Equations Classical Mechanics Dynamics of rigid bodies


Moment of Inertia
The angular momentum in a moving coordinate system is given by:
angular momentum in a moving coordinate system

where I is the moment of inertia with respect to a central axis, which is given by:
moment of inertia

or, in the continuous case:
moment of inertia

Further holds:


Steiner’s theorem is: if axis C axis D.


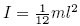
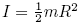
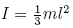
Moment of Inertia
ObjectMoment of InertiaObjectMoment of Inertia
Cavern cylinderMoment of Inertia of Cavern cylinderMassive cylinderMoment of Inertia of Massive cylinder
Disc, axis in plane disc through mMoment of Inertia of Disc, axis in plane disc through mHalterMoment of Inertia of Halter
Cavern sphereMoment of Inertia of Cavern sphereMassive sphereMoment of Inertia of Massive sphere
Bar, axis through c.o.m.Moment of Inertia of barBar, axis through endMoment of Inertia of bar
Rectangle, axis plane thr. c.o.m.Moment of Inertia of RectangleRectangle, axis b thr. mMoment of Inertia of Rectangle


Principal axes
Each rigid body has (at least) 3 principal axes which stand to each other. For a principal axis holds:


The following holds: with


Time dependence
For torque of force torque holds:



The torque torque is defined by: