Prove that position vector for the center of mass from an arbitrary origin is given by this equation

Home Problems and Answers Classical Mechanics Prove that position vector for the center of mass from an arbitrary origin is given by this equation


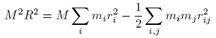
Prove that the magnitude R of the position vector for the center of mass froman arbitrary origin is given by the equation:
kinetic energy
(Source: Herbert Goldstein, Classical Mechanics - Chapter 01)





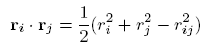
Solving for ri . rj realize that rij = ri - rj. Square ri - rj and you get


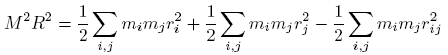
Plug in for ri . rj