Kinetic energy for single particle with constant mass

Home Problems and Answers Classical Mechanics Kinetic energy for single particle with constant mass


Show that for a single particle with constant mass the equation of motionimplies the following differential equation for the kinetic energy:
kinetic energy
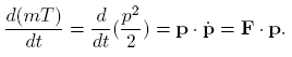
while if the mass varies with time the corresponding equation is
kinetic energy
(Source: Herbert Goldstein, Classical Mechanics - Chapter 01)


with time variable mass,